Arq Bras Cardiol: Imagem cardiovasc. 2024; 37(1): e20230086
Relação Entre Parâmetros Ecocardiográficos e o öÍndice de Inflamação Imune Sistêmica em Pacientes com Hipertensão Arterial Pulmonar
Resumo
Fundamento
: A Hipertensão Arterial Pulmonar (HAP) é ima doença crônica com alta morbidade e mortalidade. O diagnóstico da HAP é feito principalmente com base em parâmetros ecocardiográficos e nos níveis de peptídeos natriuréticos. No entanto, dada a baixa incidência de HAP no mundo, o diagnóstico da doença pode ser desafiador.
Objetivos
: Avaliar a relação entre o Índice de Inflamação Imune Sistêmica (SII, do inglês systemic immune-inflammation index ) e HAP.
Métodos
: Este foi um estudo transversal, retrospectivo de 110 pacientes (43 HAP e 67) controles. O índice SII foi comparado entre o grupo de pacientes com HAP e o grupo controle. Uma probabilidade ( p ) <0,05 foi considerada como estatisticamente significativa.
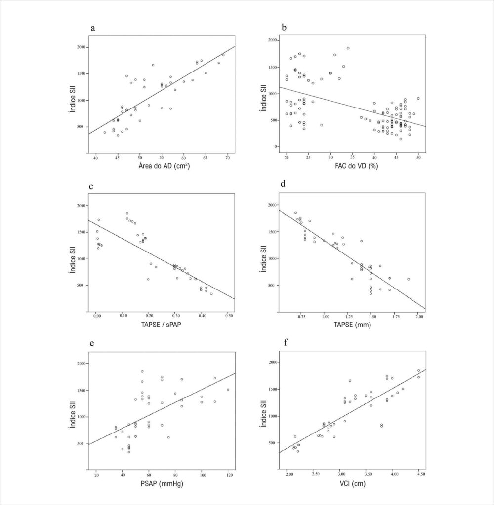
Resultados
: Os achados deste estudo indicaram que o índice SII foi significativamente mais alto no grupo de pacientes com HAP que no grupo controle (1054,15 ± 439,99 vs. 506,7 ± 180,55, p<0,001). A análise da correlação entre o índice SII e os parâmetros ecocardiográficos revelou que o índice SII apresentou uma correlação moderada com variação fracional da área do ventrículo direito (VD) (r:-0,567, p<0,001), a Pressão Sistólica da Artéria Pulmonar (PSAP) (r:0,593; p<0,001), e a velocidade de regurgitação tricúspide (VRT) (r:0,662; p<0,001). Além disso, o índice SII apresentou uma forte correlação com área do átrio esquerdo (r:0,822; p<0,001), diâmetro da artéria pulmonar (r:0,819; p<0,001), diâmetro do átrio esquerdo (r:0,937; p<0,001), diâmetro da veia cava inferior (VCI) (r:0,869; p<0.001), Excursão Sistólica do Plano do Anel Tricúspide (TAPSE) (r:-0,902; p<0,001), TAPSE/PSAP (r:-0,831; p<0,001). Além disso, o índice SII dos pacientes aumentou significativamente à medida que a capacidade funcional (CF) dos pacientes diminuiu.
Conclusão
: O índice SII é um parâmetro bioquímico simples, de baixo custo, não invasivo, e de fácil acesso que pode ser útil no diagnóstico e no acompanhamento dos pacientes com HAP, principalmente em centros em que o ecocardiograma (ECO) não está disponível.
Palavras-chave: Ecocardiografia; Hipertensão arterial pulmonar; Inflamação
557

